Statistiques à long terme

Le SLF collecte depuis l'hiver 1936/37 toutes les données concernant les accidents d'avalanches en Suisse. Le dépouillement et la synthèse de ces données sont publiés dans les comptes rendus annuels d'accidents du SLF. Les statistiques les plus importantes sont présentées ici dans un bref aperçu.

Victimes d'avalanches depuis 1936

En moyenne, sur l'ensemble de cette période, ce sont 24 personnes qui meurent chaque année dans une avalanche (fig. 1).

Accident d’avalanche = danger de mort !

Selon les statistiques, seulement un peu plus d’une personne sur deux ensevelie complètement (la tête dans la neige) survit. La raison la plus fréquente du décès des personnes totalement ensevelies est l’étouffement, l’espace permettant de respirer étant souvent réduit ou inexistant. C’est pourquoi, après 15 minutes déjà, la chance de survie d’une personne totalement ensevelie se réduit de manière marquée (fig. 3, données: Procter et al., 2016). La détection et la libération rapide d’une personne enfouie par ses camarades sont donc fondamentales. Des informations sur l'évolution des temps d'ensevelissement et les probabilités de survie peuvent être trouvées ici.

Le danger de mort existe même pour les personnes qui ne sont pas totalement enfouies après avoir été entraînées par une avalanche : un décès sur sept découle de blessures graves.

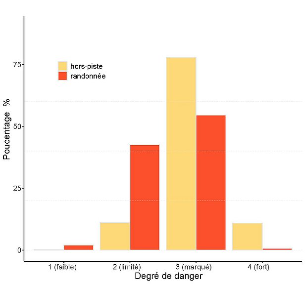
Accidents mortels par degré de danger

Les normales montrent que la plupart des accidents se produisent avec le degré de danger marqué, 3 (fig. 4).